三星电机发布全球首款车载用超高容量 MLCC(0805 inch,47㎌,4V)

  • Automotive
  • 2026.02.23

三星电机开发并全球首发 0805 inch (2.0×1.25mm)、X7T (-55 to 125℃)、额定 4V、47㎌ 的 Automotive Grade 超高容量 MLCC,该产品可在最高 125℃ 环境下无需 Derating 使用。


随着汽车领域事故预防及自动驾驶技术的快速发展,对安全性的要求持续提升。因此,搭载于汽车 ADAS 的传感器与雷达不断向高性能化发展(因处理能力提升而产生的大电流化、为降低功耗而推进的低电压化),用于供电的 Power IC 亦被要求实现小型化与大电流化。与之配套,车载 MLCC 也持续向小型化与超高容量化演进。


基于自有的陶瓷及电极材料微粒化技术与超精密工艺,三星电机成功开发出符合 AEC-Q200 标准的0805 inch (2.0×1.25mm)、X7T (-55 to 125℃)、47㎌ 超高容量、额定 4V MLCC,并推荐用于汽车 ADAS / IVI Application 的 Decoupling capacitor。

- 提供高可靠性 (High Reliability) 与 Low ESR,确保稳定性能

- 通过 Space Saving,提升系统设计的灵活性

ECU Block Diagram


Product Specifications

Samsung Size
(inch/mm)
Capacitance Related
Voltage
TCC Data
Sheet
Remarks
CL21Z476MRY6PN# 0805/2012 47µF 4V X7T World's 1st
CL21Z226MQYVPN# 0805/2012 22µF 6.3V X7T Series
CL21Z226MRYVPN# 0805/2012 22µF 4V X7T Series

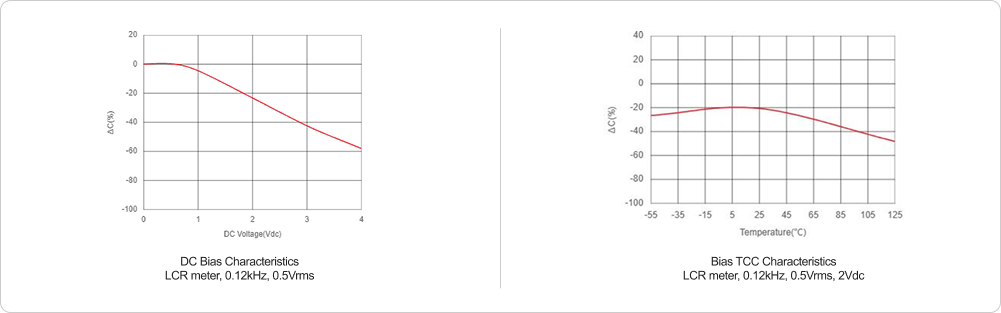
Characteristics data


包括样品申请在内的其他咨询请点击这里留言